(Nov. 2018) If all of this does not convince you of how powerfully the media shapes the public’s perception of reality I’m afraid nothing will. Here we have an obvious skewing of numbers to convince you that people who want clean drinking water, who do not want their food sources poisoned, are actually a bunch of violent terrorists. Quite frankly I think they’ve over skewed it this time. It isn’t a matter of a slight margin of difference, it is a very glaring fudging of the facts. The following article is compiled from information posted from research on the ‘No to 1080 Use in NZ’ Facebook page, and from Carol Sawyer. It includes a further update by Carol following a news item on NewsHub last night.
OIA reveals false claims from DoC
“Can we expect our Government agencies like the New Zealand Department of Conservation (DoC) to tell us the truth?
It would appear not.
Over the past year, there have been increasing claims in the media from people like Lou Sanson, Director-General of the DoC and Nicola Toki, DoC’s ‘Threatened Species Ambassador’ that ‘anti-1080 activists are dangerously out of control’, ‘have gone feral’ and even ‘ are repeatedly making death threats to DoC staff’.
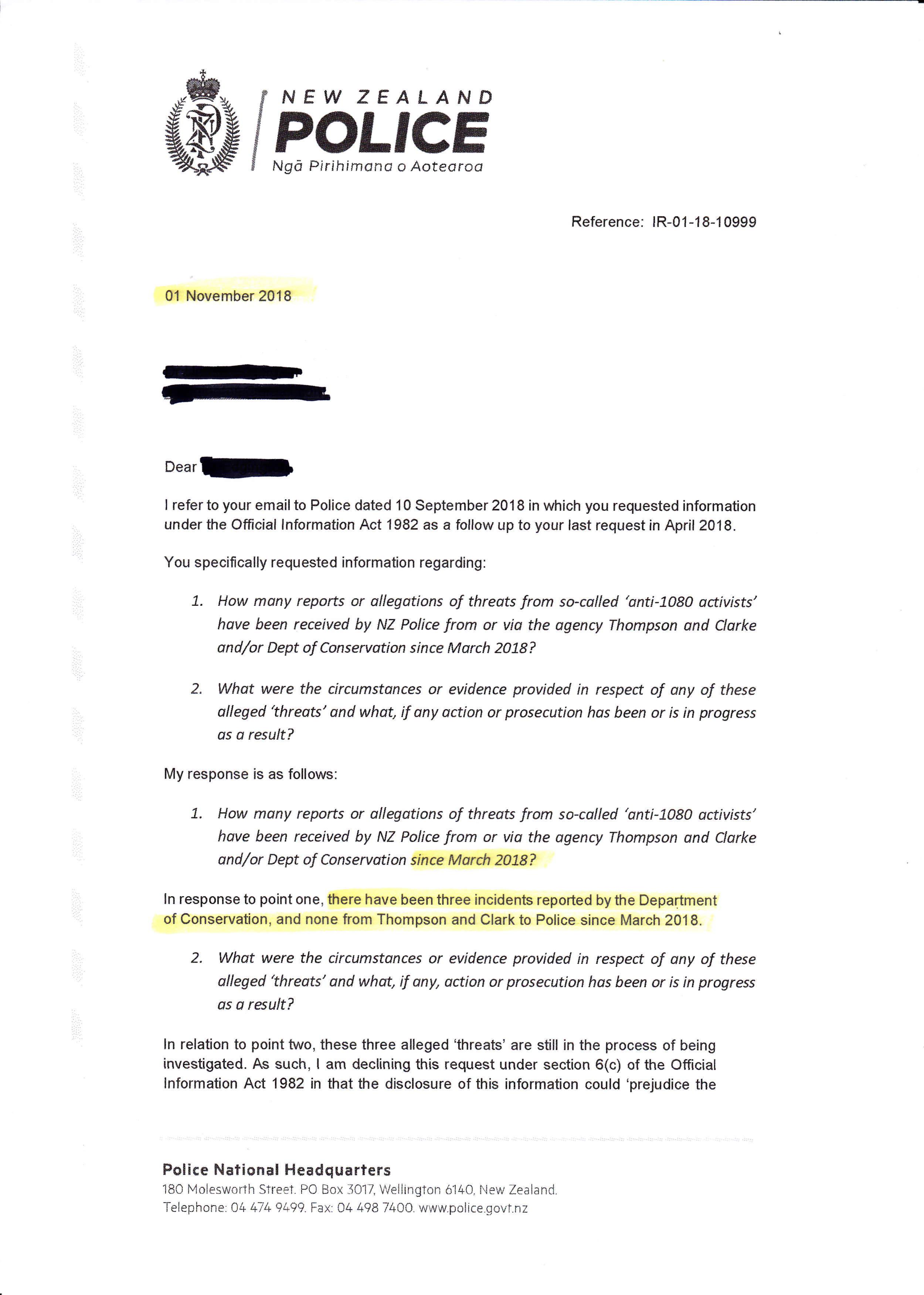
On 31st August this year, we exposed the truth about these lies. We reported the response to an Official Information Act to the New Zealand Police, which asked ‘exactly HOW MANY threats of violence towards DoC staff had been recorded from so-called ‘anti-1080 activists in the past 2 years?’ and perhaps more importantly, ‘how many of these were being upheld?’”
The answer, back then, was six:

Between March 2016 and March 2018 there were a total of only SIX reports of threats to NZ Police, of which, ZERO were being progressed to prosecution. Nil prosecutions. Surprise, surprise!
So since then, from March up to October 2018, how many MORE threats to DoC do you think have been reported to the Police? After all, there was (according to TVNZ in Sept) a “sharp rise in threats to DoC staff”. Numerous media articles have attempted to alarm the public about the ‘dangers’ of ‘anti-1080 activists’. Then there was the commencement of a costly contract with the private security firm, Thompson and Clark (April 2018). Journalists like Tom O’Connor writing opinion pieces with headlines like ‘Anti-1080 protesters’ threats to human life inexcusable’…..
so, how many threats were actually reported to the Police?
THREE.
Yes, that’s right, since March 2018 there has been an ‘explosion’ of the numbers of threats to….um,
the same, on average, as the previous two years.
On 7th of November we have a further update on mainstream media’s reporting :
THREATS TO DoC FROM ANTI-1080 PEOPLE
“Well, well, well – tonight we have the government-driven “drama queens” on Newshub coming up with another fantastical story… DoC is apparently trembling in its boots because of threats to shoot down helicopters, string wires across valleys, etc. Their “wheels have been slashed” and their “tyres loosened”… NONE OF THIS IS TRUE! In the Newshub story …
… not a single shred of evidence for its claims was produced.
The story starts off :
“Newshub can reveal the Prime Minister has received multiple threats from anti-1080 extremists including at least one death threat.” However, when Jacinda Ardern is asked ” Have they threatened your life or safety?” she looks uncomfortable and replies “Er, look I..I have been.. had some incidents, er, that I’ve been made aware of, um, but actually… (and then goes on to say she is more concerned about frontline staff).
Meanwhile, back in the real world where we all not only have to defend ourselves against poison but also against the self-interested exaggerations of the poisoners, two OIA requests reveal exactly …
NINE so-called threats in the last 2 years and 7 months! None has progressed to prosecution.
Lou Sanson says there were NINETY-THREE threats last month. The date on the latest OIA response from the NZ Police is 1 November, 2018. How does this work exactly Lou Sanson?
In case you missed it, here is the news report:
https://www.newshub.co.nz/home/politics/2018/11/exclusive-pm-jacinda-ardern-doc-staff-get-death-threats-from-anti-1080-extremists.html?fbclid=IwAR10IO0_b3tr7O4x4c4VIKdejCEU_28ZJZuE_5pSColcZMlQjiLDQ-BUas8
Below are copies of the latest OIA request to Police:


IN CONCLUSION:
Whether any of the 3 alleged threats will progress to a prosecution, remains to be seen. But if previously reported incidents are anything to go by (e.g. a threatening phone call, and a note left on a DoC vehicle) we doubt it very much.
We need to call out DoC about their constant and tiresome Fake News. And we need to make the media accountable for perpetuating their lies. We need to ask for more evidence whenever DoC make a claim; they are simply untrustworthy.
Some examples of recent Fake News articles below.
“Southern police have also revealed they are investigating several threats made last year to sabotage 1080 operations, including one involving the setting of man traps. Department of Conservation (Doc) operations director southern South Island Aaron Fleming said in recent months there had been an increase in threats and harassment to Doc staff and contractors nationwide, including eight in Otago and Southland.” (Otago Daily Times, 6 Oct 2018)
“There are fears for the safety of conservation workers and contractors after recent attacks on their vehicles. In three instances wheel nuts on the vehicles were loosened in acts believed to be connected to protests over the Conservation Department’s use of 1080 poison for pest management. In the most serious case a contractor avoided injury when a wheel came off while he was driving, after its nuts had been loosened. DOC director-general Lou Sanson said toxic bait had been put in a staff letterbox and he had also seen other threatening posts on Facebook recently.” (New Zealand Radio, 29 Sept 2017)
“DOC appalled at latest 1080 threats to staff: The Department of Conservation (DOC) confirms that it has asked New Zealand Police to investigate after receiving a second threatening letter from an anti-1080 protestor in Taranaki. The aggressive letter intensifies threats against DOC staff and claims more sika deer will be released unless DOC stops its use of 1080 to control predators.” (Scoop, 5 December 2017)
“Sharp rise in threats to DOC as anti 1080 protesters hold mass demonstrations” TVNZ, 1 News: Sept 2018
DoC said the intelligence gathering was necessary because of threats made by anti-1080 activists who in some cases had threatened to shoot down helicopters. “They’ve threatened to kill our staff and their families, we’ve had physical confrontation, and we’ve had instances of tampering with vehicles, loosening wheel nuts. “So we needed a specialist security company to help us with that because we just don’t have the resources or expertise,” Mr Maher said. Threats are collated and assessed by Thompson and Clark as to whether they could likely be carried out. If the risk is high they are forwarded onto police. (Radio New Zealand Checkpoint: DOC Using Thompson and Clarke to monitor anti-1080 activists April 23, 2018)
Department of Conservation staff are facing a torrent of online threats and abuse following a recent spike in anti-1080 protest This is having a consequence for frontline DOC staff, Mrs Toki said incidents of threats and abuse in August were significantly higher than usual. “We had eight incidents in just one month alone where staff were physically confronted, abused or harassed and then we had seven abusive phone calls and emails” She said in addition to that there were countless harassment threats and abuse via social media which were followed up with Netsafe and the police. (Radio New Zealand 18 Sept 2018)
Photo Credit: Pinocchio – Schwerdhoefer at Pixabay.com
You must be logged in to post a comment.